
营商环境中办理破产指标的“回收率”研究
作者: 时间:2021-06-16 阅读次数:2455 次 来自:网易
摘要:办理破产指标,作为评价一国企业破产制度完备程序的重要指标,对于优化营商环境建设具有重要价值。我国由于破产程序耗时长、成本高、相关配套制度不完善,导致“办理破产”二级指标“回收率”居高不下,在当前各国纷纷对标“办理破产”的国际背景下,我国也在提升“回收率”指标上进行了有益的探索。建立简易破产程序,加强破产审判的信息化建设从而限制破产程序的时间消耗,通过优化管理人报酬机制减少破产程序成本耗费,以及提高破产职业专业化水平,完善府院联动机制来完善相应的配套制度,这些措施都有利于加强我国破产法律制度在实践中的实际运行效果,保障破产法律相关规定切实发挥作用,最终提升我国办理破产的司法实践能力。
世界银行每年发布的营商环境评估报告,对世界上190多个国家和地区的立法修改完善和营商环境优化建设,产生了直接的推动作用。在世界银行的评估体系中设置了10个一级指标,“办理破产”位列其中。破产法不是一个静态的领域,而是动态地服务于经济体系,需要随着经济结构的演变而调整。我国营商环境总体排名与办理破产指标排名,整体呈现出稳步前进的趋势。“办理破产”的指标由“回收率”和“破产框架力度指数”两项子指标组成,我国“破产框架力度指数”,在世界范围上已经处于领先水平,但“回收率”指标与世界优秀实践者还存在较大差距。“回收率”指标的设置,旨在降低破产程序的运行成本,扩增债务人留存财产,提高债权人回收的债权份额,从破产程序的偿付结果上均衡债务人与债权人的利益。本文通过对“回收率”指标进行分析并提出针对性建议,希望有助于我国破产法治的发展和破产审判能力的提高。
一、办理破产“回收率”指标解读
自世界银行开展全球营商环境评估工作以来,“办理破产”作为衡量经济体市场主体退出机制完备程度的重要内容,一直位列十大一级指标,而二级指标“回收率”作为主要构成则历经多次更迭。
回收率通过标准函数公式计算而来,破产时间、破产成本和破产结果,是最主要的三项指标,三者相互作用,共同构成回收率指标的计算依据。
(一)“回收率”指标发展脉络
2004年世界银行首份营商环境报告中“办理破产”指标被称为“关闭企业”(Clo-singaBusiness),此时主要是对各个国家关闭企业程序和效率进行打分,包括:关闭企业所需时间(TimetoGoThroughInsolv-ency);关闭企业所需成本(Cost-toGoThroughInsolvency),即以关闭企业占企业总资产的百分比计算;绝对优先权的保留(AbsolutePriorityPreserved),即企业进入破产程序后享有优先权的债权人能否得到优先清偿;有效指数(Efficie-ntOutcomeAchieved),即企业选择破产程序是否能够重整成功;破产目标指数(Goals-of-insolvencyIndex),即企业能否获得预期重整效果;法院权力指数(Court-powersIndex),即法院在破产程序中能够对程序进行起到的作用力大小。此种计分标准存在诸多的不确定因素,且各指标有重复评价之嫌疑。因此,世界银行在2005年对“关闭企业”指标各项评分进行调整,重新划分为破产时间、破产成本和回收率等三项标准,将破产成本和时间单独列出,“回收率”指标雏形初现。
2013年世界银行将“关闭企业”这一指标改为现今所称的“办理破产”(Res-olvingInsolvency),显见关闭企业是一种完全而彻底的市场退出,而破产制度本身就包括破产清算、重整与破产和解三大主要程序。因此,称“办理破产”更加贴合营商环境对企业破产制度评估的实际意义。世界银行此时的评估指标已将破产时间、成本和结果作为回收率计算的构成要件。2015年世界银行又在营商环境评估中“办理破产”一级指标下新增二级指标“破产框架力度指数”,简单来说,破产框架指数就是量化的破产法律评价标准。至此,“回收率”和“破产框架力度指数”就构成了沿用至今的世行“办理破产”指标的两大子指标。
值得一提的是,2008年全球金融危机对全球经济造成了海啸般的冲击,大量企业倒闭,然而却有一些企业成功地通过重整焕发了生机。美国航空公司重整案便是其中的典型代表。在全球金融危机的冲击下,陡增的劳动力成本、高油价以及旅行需求的抑制使得美国第三大经济载体美国航空公司面临巨大危机,幸而美国破产法中具有基础坚实的重整程序,美国航空公司于2011年10月申请进入重整程序,并最终成功重整了其财务和主体业务,避免了退出市场的厄运。重整程序的巨大能量全球瞩目,“办理破产”指标中企业能否因重整而获得新生也成为了重要的衡量标准,回收率项下的“结果”考量便是最直接的判断。
(二)“回收率”指标考察对象
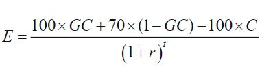
世界银行的“回收率”也称为清偿率,是指有担保的债权人通过重整、清算或债权追回程序收回的美分在1美元中的占比。世界银行在评估中给出假设案例(Mirage作为一家酒店,在资不抵债时如何处理),答卷人结合所在国家的法律规定和破产案件处理经验作答后得出该项得分。“回收率”的计算公式是:

其中,E为回收率值;GC(持续经营,GoingConcern)值的确定方法是,如果一个公司可以继续经营则为1,如果零碎出售则为0;C(Cost)指回收债务所需成本,以占债务人不动产价值的百分比表示;r(LendingRate)是指贷款利率;t(Time)是回收债务所需时间。时间、成本、结果三项相互作用,成为回收率主要考察对象。
1.破产时间
时间是衡量破产程序进行的重要依据,而企业在破产程序内所必须花费的时间,则成为影响企业破产效率、债权人回收率以及企业能否重整成功的重要因素。破产时间严格意义上来说并不能作为评判企业破产程序是否高效的一个依据,因为时间的长短无法直接决定企业资产的清算、债务的清偿。但是,时间指标却间接影响了企业破产程序中的成本和回收率等客观标准。a普遍认为,在不考虑破产程序有效性的情况下,破产程序所占用的时间越短,破产程序越完善,破产所产生的成本费用越低,债权人回收率越高,破产结果越有利于企业清算或重整。问卷调查中的“时间”从公司违约之时开始,直到企业拖欠最大债权人银行的款项得到偿还时为止。其中,程序的各参与方中有些主体为了自身的利益,可能会采取有利于自己却对整个程序不利的措施,比如,提出拖延时间的申诉或延期申请等均被考虑在内。问卷提问为:根据所选择的程序,整个破产程序需要多长时间?假设案例的情形在我国破产程序中,往往不能获得重整,而是最终走向破产清算。根据我国《企业破产法》第75条规定,比兹(Biz)银行(Mirage酒店的担保债权人)将不会同意重整计划。Biz银行对重整计划的不赞成将导致法院裁定终止重整程序。法院将宣布Mirage酒店正式破产,并将重整转为清算程序。在清算期间,法院将任命破产管理人负责召开债权人会议、确定债权人索赔清单以及起草分配计划。整个过程历时1.7年。
世界银行《营商环境报告》中曾记录:“巴西的破产程序需要10年,因此,很少被使用。在塞尔维亚和黑山,清算程序需要7年以上,成本约为破产财产的38%。”c在这种情况下,超长的破产时间导致债务人的破产成本极高,债务人资产在长时间的破产程序中不断地被消耗,如果在破产期间不允许企业继续经营来维持破产程序,那么程序所造成的大部分损失以及成本最终将由债权人承担,这无疑是一笔巨大的资金负担。
2.破产成本
破产成本按债务人不动产总价值的百分比记录。成本计算以调查答卷为依据,包括诉讼费、律师费、破产管理人或破产接管人的费用、拍卖人费用、会计师和其他专业人员费用以及其他一切费用和成本。在我国,破产成本占企业总资产的22%,每项费用分别为法院费用(0.5%)、律师费(5-10%)、通知和公布费用(1%)、破产代表费(5-10%)、会计师、估价员、检查员和其他专业人员的费用(7%)、拍卖师费用(1-5%)以及服务提供者和(或)政府征收费(5%)。
企业资产价值的最大化是企业进入破产程序的重要目的之一。即便企业在进入破产程序后能够被快速清算或者恢复,但如果这个成本过于高昂,企业大多不会采用正式破产程序。不难发现,成本是评价一个经济体破产体系的重要标准。当企业进入破产程序,造成的成本将直接影响该企业接下来的命运以及债务人、债权人的利益。如果一个经济体的破产体系不健全,那么大量的破产成本会直接损耗原本资产就短缺的破产企业,使债务人更无翻身之力。如果在企业破产程序中不能很好地维护债权人、债务人的利益,那么债务人或者债权人则没有理由让企业进入破产程序。
在我国破产成本费用中,破产管理人报酬所占比重相对较大,《最高人民法院关于审理企业破产案件确定管理人报酬的规定》第2条规定,破产管理人报酬按照“超额累退”方式计算管理人报酬,根据债务人最终清偿的财产价值总额来确定,累退计费标准在12-0.5%之间确定。
3.破产结果
世界银行对于破产程序成功与否的评判标准基本侧重于债务人回收率以及企业的后续存废,即企业是清算还是重整。世界银行曾指出,世界范围内关于破产制度的改革基本侧重于债权人权益问题,到2010年前后,则基本集中在债务人权益以及重整程序的完善上。这也从侧面显示出对“结果”这个二级指标的评判有较大的争议性,不同的国家和地区、不同的政治经济社会体系,各自的侧重点都会存在差异。c例如,欧美地区更加注重债权人权益保护,东欧一些社会主义地区则更强调整体国家的利益,更愿意去保障国家税收以及企业员工的权益。
问卷中的“结果”,是指破产程序结束后企业是作为整体继运营还是最终被分割出售。需要明确的是,无论企业是重整成功还是被整体出售,只要保持其实体和业务整体存在,皆可继续运营,在标准化案例中皆可得1分。企业最终被清算且资产被分割出售,则得0分。根据前文分析,该企业在我国只能进入清算程序,最终资产被分割出售。如前所述,在假定标准化案例的设定之下,只有在担保债权人的担保债权不受影响的情况下,担保债权人才会通过重整计划。但是,根据我国《企业破产法》第75条的规定,在重整期间,债务人对特定财产行使的担保物权应暂停行使。因暂停行使担保物权将使Biz银行受到影响,因此,Biz银行将不会同意重整计划。Biz银行对重整计划的不赞成将导致法院终止重整程序。法院将宣布Mirage酒店正式破产,并将重整转为清算程序。
日本、德国、英国、美国“最终结果”皆为继续存续经营。就德国而言,商业银行将对酒店销售价值的最大化感兴趣,这可以通过持续经营的销售来实现。如果可能的话,除了要求保留所有员工之外,不随购买转移负债。a英国的做法更为细致,管理人将侧重于为整个债权人实现最佳结果,在这种情况下,这将通过将企业作为持续经营企业出售来实现。管理人从董事手中接管公司的管理工作,并拥有广泛的权力来经营公司的业务,从而使公司能够继续经营下去。管理人可以代表公司签订新合同,并优先向所有其他债权人(固定费用持有人除外)支付管理费用,以便企业能够继续经营。b在美国,假设案例在很大程度上依然可以作为整体运营,但是,目前的股权可能会被剔除,新的管理层可能会被选中,即使酒店被出售,它也很可能作为持续经营的企业出售,因为它比零星出售能提供更大的价值。
二、我国提升办理破产“回收率”指标的现状与困境
(一)影响我国“回收率”指标的主要因素
1.破产程序的时间进程
破产程序耗费的时间长短是能否实现企业价值最大化的重要指标。在我国完成完整的破产程序需要将近2年时间(1.7年)。办理破产用时最短的国家是爱尔兰,仅需要0.4年。从其他可比经济体来看,美国需要1年,德国需要1.2年,英国需要1年,我国香港地区只需要0.8年,日本仅需要0.6年。
我国《企业破产法》规定,企业可以在尝试重整无望后再转入破产清算程序,也可以在申请破产清算后认为企业有重生希望而转入重整,虽然是一种较为合理的制度设计,但也带来了破产程序的时间被延长的结果。就美国而言,企业申请破产,要么依据《美国破产法典》第11章申请重整,要么依据第7章申请破产清算,不可任意在两个程序之间转换。美国申请破产清算的申请费为245美元,申请重整的费用高达1167美元(不包括铁路公司重整案件),这也就使得申请人在提出申请前谨慎考虑所选程序。美国的克莱斯勒与通用汽车这两件大型重整案件,从破产申请的提出到重整计划的批准,总共分别只花费了42天和39天。
在实践中,企业的资产负债比率在进入破产程序时往往比较高。在裁定进入破产重整程序后,破产重整案件的审理期限有可能会进一步影响资产负债比,使债务人的资产进一步贬值,最终损害整体利益的实现。一个低效、耗时的破产程序最终可能会使企业因为无法摆脱困境而最终走向破产清算,而一个快速高效的破产程序可以拯救企业。同时,我国对于债务人的保护自法院受理破产申请时才自动开始,如果债务人事前有所准备,通过提出破产申请而获得破产保护并由此中断债权人的追讨行为,在我国实践中也时有发生。
2.破产程序耗费的成本
成本是按照整个破产过程中完成程序的花费所占债务人资产总价值百分比计算的。在调查问卷中,成本包括:诉讼费、律师费、破产管理人的费用、拍卖人费用、会计师和其他专业人员的费用以及其他。相比我国22%的总资产占比率,从全球范围看,挪威破产成本仅占总资产的1%,主要费用包括:破产代表的薪酬最高1%、律师费最高0.2%、所涉会计师和评估员的费用(0.1%)和法院费用0.05%。可比经济体日本的破产成本仅占总资产价值的4.5%,其中律师费为2%,破产代表或接管人费用仅1%。b美国破产成本占总资产的10%,律师费用占9%。英国破产成本占总资产价值的6%,各项费用分布较为均匀,主要费用包括:管理员的报酬约3%、拍卖费(约1%和可能的溢价)和律师费约2%。
在国际上,管理人的报酬方式各不相同,总结起来共有两种。一种是按照时间即根据管理人工作的时间来计算报酬。时间计酬法有利于管理人对于债务人资产的全面掌握,但是,另一方面又有可能造成时间的拖延,管理人为取得更高的报酬而消耗不必要的时间。另一种是按照标的额即根据债务人的总财产的比例来计算管理人的报酬。按照标的额计酬能够很好地促进管理人对债务人资产的查找和追回,提升企业总资产,但是,对于与资产无关的事项,管理人却缺少必要的自理措施。管理人可以根据破产的结果获得报酬,立法可以设定激励措施以实现收益最大化,这样可能提高回收率——平均提高20%。全球有50多个国家按市场收益支付管理人报酬,包括美国、日本、丹麦、约旦、马来西亚和斯洛伐克等国家。世界银行2009年营商环境报告指出,波兰通过2007年生效的《受托人许可法》加强了对管理人员的专业要求,以确保他们拥有监督破产程序所需的技能和教育,同时将受托人的薪酬限制在破产财产价值的3-5%,高效的破产程序也激励了投资人的投资。
在我国,从世界银行评估报告的数据来看,破产管理人的报酬比重已经远远超出可比经济体的相关费用占比。此外,我国的管理人报酬制度还存在对无产可破的企业没有规定报酬支付方法、对按照“标的”额支付报酬分配的具体规定不明确等问题。在实践中,我国并未区分重整程序和破产清算程序中的管理人报酬,而是直接按照债务人最终可以分配的财产总额按照比例计算。这样的计酬方式难免单一,对于某些需要管理人付出额外劳动的相关事务却没有对应的报酬,难免影响管理人的工作积极性。
3.影响回收率的其他因素
第一,破产从业人员专业化程度。破产程序涉及多方当事人,管理人需要在法院和债权人之间斡旋,同样,债务人的合作程度也会对管理人的工作产生影响。这其中,审理破产案件的法官和管理人的专业化程度对破产程序进程的时间、成本及回收率密切相关。一方面,破产管理人的专业化程度对破产企业的回收率有重要影响。他们的任务通常包括登记所有债权人的债权、评估和管理公司的资产(自行或协同债务人的管理层或债权人委员会进行)、收回破产受理前法定时间内处置的资产和清算破产财产。各国法律在确定破产管理人是否有资格承担这些任务的方法各不相同。在接受世界银行营商环境调查的经济体中,只有42%的经济体建立了具体的专业标准,以确保替代管理层具备相应的知识和技能。大多数接受调查的东欧和中亚经济体以及经合组织高收入群体都采取了这样的做法。德国《破产法》只对管理人有资格处理此案并具有商业经验提出了一般要求。相比之下,在加拿大,破产受托人由破产监督办公室颁发执照,加拿大破产和重整专业人员协会确立了成为特许受托人的个人的官方资格程序,并为成员制定专业行为规则和专业实践标准。另一方面,法官的专业化程度也越来越受到关注。2019年营商环境报告认为,一个准备充分和强大的司法机构是法治的基础。对法官的培训有助于迅速解决审判,并能达到更高质量的司法判决。培训还可以促进决策的更大统一性和可预测性,并可以提高公众对法律系统有效处理专门事项能力的信心。训练有素的法官通过基本原则和可预测的程序维护法治,同时,也能应对迅速变化的社会环境。b司法培训项目可以提高司法绩效,对法官进行破产相关问题培训的经济体在解决破产指标方面往往表现更好。司法培训是成功实施破产法院程序监管改革并产生积极影响的关键因素。在阿拉伯联合酋长国,培训是其司法现代化战略的核心部分,对成功创建专门的商业法院、引入电子案件管理系统和实施新的破产制度,发挥了重要作用。
第二,专门破产机构的设立。一方面,从全球范围来看,在营商环境报告衡量的190个经济体中,只有31个国家有处理破产案件的专门法院。设立专门法院是为了处理商业、破产、证券或知识产权法领域的复杂法律问题。这类法院需要受过具体和复杂程序培训的专门法官。在不断变化的商业世界中,法官的知识必须跟上快速发展的商业监管环境。破产案件尤其复杂,因为涉及的利益攸关方要求很高,包括面临财政困难的大量不同类型的债权人、破产管理人、从业人员和债务人。处理这类案件的法官必须知识渊博,并具有一定的跨专业技能,如财务和会计技能。另一方面,许多国家都建立了完善的管理人协会,通过管理人协会来履行行业自治管理。我国现在已经有全国性的律师协会和注册会计师协会,但尚未建立全国性的破产管理人协会,只是在许多省市成立了不同层级的地方管理人协会。管理人协会有助于管理人的高效履职和活力的迸发,提高整个管理人行业的专业化水平,进而促进整个破产制度的高效发展,也有助于提升破产审判质效,及时出清“僵尸企业”,化解过剩产能。此外,在企业的破产程序中,不单只是一个企业自身的问题,还会涉及企业破产清算时失业职工的安置问题,以及企业重整成功后的信用修复问题。不论企业重整还是破产清算,都离不开工商的登记和变更等问题,还包括破产企业的税费缴纳问题。这些社会问题,如果不能得到有效的解决,同样不利于经济的平稳发展。要想完成整个破产程序,外界的支持尤其是政府的支持至关重要。因此,在企业进入破产程序以后,各方的相互协助,各个社会部门的分工对于企业重整时的招商引资,清算时取得资产价值的最大化都具有重要意义。
(二)我国在提升“回收率”方面的探索
当前,在各国纷纷对标“办理破产”指标的国际大背景下,“回收率”作为制约我国“办理破产”指标的最大短板,受到了党和政府的高度重视,各地也在进行积极的探索。从各地实践来看,各地的努力主要集中于以下几个方面。
1.尽力缩短破产案件的办理时间
一方面,各地对于重整程序和简易破产程序的探索一直没有间断。预重整制度在我国尚未被立法明确规定,但是已有相关的法律文件对庭外重整作出了规定而且实际也已有相关实践案例。2018年3月,最高人民法院出台了《全国法院破产审判工作会议纪要》,其中第22条是对预重整实践探索成果的肯定,也为预重整制度的发展提供了法律上的依据和支持。2019年11月,最高人民法院发布《全国法院民商事审判工作会议纪要》,其中第115条规定了庭外重组协议效力在重整程序中的延伸,为预重整制度的司法探索提供了更为具体的指引。在预重整案件中,重整方案不需要进入重整程序后再拟定,而是在债务人与相关利害关系人进行事先的协商,在商业层面的谈判之后初步拟定出重整方案。在此基础上再申请企业进入重整程序,进入重整程序后将预先谈判的重整方案进行调整,这样可以极大地节约制定重整计划的时间。在最高人民法院2016年公布的企业破产重整及清算的十大典型案例中,中国第二重型机械集团公司与中国第二重型机械集团公司(德阳)重型装备股份有限公司破产重整案,就是通过庭外重整与法院重整程序相结合来处理破产重整案件的典型代表。在最高人民法院2021年发布的“人民法院实施破产法律制度优化营商环境典型案例”中,案例7“预重整及时指定管理人,保障债权人的推荐权——北京联绿技术集团有限公司、北京新奥混凝土集团有限公司合并重整案”,就是人民法院尊重债权人意见指定临时管理人,保障债权人对预重整管理人推荐权的典型案例。这些成功案例对于我国陷入困境的大型国有企业如何进行快速重整提供了借鉴。
另一方面,最高人民法院《关于深化执行改革健全解决执行难长效机制的意见——人民法院执行纲要2019-2023》(法发〔2019〕16号)明确提出,应推进执行程序与破产程序的有效衔接,将执行转破产、破产简易程序等行之有效的经验法律化。全国各省高级人民法院也纷纷出台司法意见,河北省高级人民法院印发关于《破产案件审理规程(试行)》(冀高发〔2019〕95号)的通知第十一章专门对建议程序作出了规定;上海法院《进一步推进法治化营商环境建设实施方案》中规定做好对简易破产案件的识别,积极运用破产简化程序,加快破产办理进程,打通简易破产案件的“快车道”;河南省高级人民法院关于《探索破产案件繁简分流建立简单破产案件快速审理机制的指导意见》的总体要求就是对简单的破产案件快速审理,要在符合法律和司法解释规定的程序和期限的前提下,通过充分运用信息化手段,采取简便工作方式,适用法定最短期限等办法,降低破产审判司法成本,提高破产审判司法效率。可见,简易破产程序在我国已有充分的发展实践。北京、上海、江苏、浙江等地法院率先试点破产案件简易审理,在依法受理和不损害利害关系人合法权益的前提下,进行有益的探索,适当简化审理程序,缩短办案周期。
此外,在互联网时代,现代科技在给人们生活带来便捷的同时,也能够为法治的建设提供新思路。为了应对日益迅速发展的互联网世界以及由此产生的具有相应特征的网络纠纷等,我国已经设立了多家互联网法院,我国破产审判的信息化,也已经基本实现了破产程序全流程的覆盖。在破产重整申请被受理后,全国企业破产重整案件信息网、企业破产案件法官工作平台、管理人工作平台“一网两平台”实现了对重整进行的全程追踪,通过与“总对总”网络执行查控系统对接,实现法官办案平台调用查控系统查询债务人的财产信息。破产案件审理的信息化建设,为办理破产重整案件节约了大量的时间。
2.努力降低破产成本
为降低破产成本,各地采取了不同的措施。河南省高级人民法院2020年9月印发了《河南省高级人民法院关于审理企业破产案件破产成本管理的指引》,对破产案件的诉讼费用、管理人执行职务的费用和聘用工作人员的费用、管理人报酬以及公益债务的成本耗费都作出了规定。其中一项重要的举措就是坚持破产财产处置的网络拍卖,破产财产处置应以网络拍卖为优先,坚持价值最大化原则,兼顾处置效率,最大限度提升财产变现溢价率。北京市高级人民法院于2021年4月2日发布《关于破产程序中财产网络拍卖的实施办法(修订)》,明确规定处置债务人财产应当采用网络拍卖方式,并应当优先采用整体出售方式保留和提升债务人的经营价值。2019年至2020年,北京法院通过淘宝网拍卖财产价值逾2.25亿元,节省线下拍卖佣金1125万元。2020年11月份,北京破产法庭集中司法处置22辆京牌小客车,占该批北京法院处置总数的1/10以上,全部车辆拍卖溢价为60余万元。可见,破产财产的网络拍卖形式能够极大节约破产成本,在各地司法实践中逐渐形成了共识,并不断发展为降低破产成本的重要举措。
此外,针对“回收率”指标中管理人费用偏高的问题,最高人民法院的《会议纪要》已经确立了管理人报酬分期支付的原则。对于案情简单的破产案件,可以实行在程序终结后一次性付清的办法,但是,绝大多数耗时长、案情复杂的案件,法院应当根据案件的进程和现实需要分期支付管理人报酬,这不仅是为了确保管理人职务的正常履行,同时,也是对管理人履职的一种激励。当案件进展遇到困难,及时拨付报酬使得案件顺利进行,也能够约束管理人勤勉忠诚履职。另外,在管理人工作开始的初期,先行拨付一部分报酬,也是促进程序进展的有效手段。另有观点认为,为了促进管理人更好地履职,可以尝试对有担保财产的收费制度。
3.加强破产审判专业化建设
2019年至今,深圳、北京、上海等地先后成立了10余家破产法庭。破产法庭的成立是在之前破产审判庭的基础上取得的实质性进步,体现了最高人民法院致力于推动破产审判专业化建设的决心和动力,也为营商环境优化建设提供了制度保障。广州破产法庭自成立以来,审理各类破产及强制清算案件1293件,审结1189件,同比增长50%和33.75%,促使185家“僵尸企业”有序退出市场,为粤港澳大湾区经济建设和优化法治化营商环境提供了有力的司法服务和保障。近年来,上海不断加强破产审判司法能力的建设,引导当事人通过“债转股”和公开市场招募重整投资人等方式,不断提高破产重整的成功率和债权回收率,在近两年重大破产重整案件中,担保债权人的清偿率均达到100%。
破产管理人是一个追求行业高端专业化的服务机构,这样的机构要想获得长远的发展,必须制定一套自身的规范体系,行业的自治此时变显得尤为重要。但同时,我国至今依然没有全国性的管理人协会。虽然各省都编制了当地的管理人名册,但是,管理人名册的流动性不够强,而且各地对管理人的选拔所采取的评价机制也不尽相同,因此,导致了各地管理人水平的参差不齐。事实上,如果能够成立全国性的破产管理人协会,对管理人进行统一的分类和评价,在此基础之上进行各省管理人名册的编制和选任,能够极大地减轻法院的工作负担,同时,也有利于提升整个管理人行业的服务质量和专业化程度。我国已经逐步建立起许多省级的管理人协会,目前需要考虑建立全国性的破产管理人协会。
三、提升我国办理破产“回收率”的具体建议
(一)限制破产程序的时间消耗
我国破产程序花费的时间,在全球范围内比较来看,依然有着较大的改进空间。限制破产程序的时间消耗,应在既有法律框架之内确保程序完整性、审判公正性的前提下,进行内容的细化和调整。探索预重整模式能够在企业进入破产程序前对有重生希望企业的债务进行预安排,在达到各方主体协调的前提下再进入正式的重整程序,正式程序消耗的时间将会大大缩短;简易破产程序能够达到对破产案件繁简分流,节约司法资源。简易程序本身的一个特点就是程序耗时少;“信息化”“互联网+”“大数据”已经成为新的时代热词,加强在破产领域的应用也必将成为趋势,信息化与破产审判的融合是时代要求,也是回应社会的现实需要。
1.探索预重整模式
预重整制度起源于美国的个案探索。联合国《破产法立法指南》中也设专门章节,提倡预重整模式。联合国认为,在简易重整程序中不需要法院介入的,在启动正式的司法程序之前,破产相对方应达成一系列重整协议。换言之,预重整制度债务人在企业进入困境后,与债权人进行事先的协商,对于申请重整的意向与债权人明示,对于涉及债权人利害关系的一些事项事先与债权人沟通,根据债权人相应的反馈进行重整协议的修正;在取得债权人的同意和确保重整计划可行性的基础之上,向人民法院提出申请。
我国目前相关法律中并没有预重整制度的相关规定,在对预重整模式的探索中,必须坚持庭外重组和庭内重整的连接以市场化谈判、法治化约束以及债权人表决模式,而不能把重整程序的司法效力毫无法律依据地向当事人的协商程序延伸,干预、扭曲乃至实质上灭活庭外重组的生命力。预重整的目的还包括促进庭外重组的发展,鼓励以市场化协商解决冲突,并通过预重整实现庭外重组与庭内重整的有机衔接,为鼓励困境企业尽早自主寻求挽救而建立制度保障,解决我国企业挽救启动过晚的痼疾。
2.探索建立简易破产程序
简易破产程序的目的在于缩短破产程序的时间,减少破产成本。但是,简易破产程序的适用需要有严格的限制。只有对于案件简单,在债权债务关系明确没有大的争议的情况下才能适用,如果案情复杂,适用简易破产程序往往欲速则不达。我国对于简易破产程序的地方探索的规则并没有上升到法律层面,因此,在通常情况下一般申请破产的案件都是适用普通程序。这就导致了对于案情简单的破产案件不能及时地运用简易破产程序节约司法成本,在审理过程中也会消耗更多的时间,这对于提高破产结案率是不利的。c对于现在存在的统一适用现有程序的安排,在一定程度上造成债权债务关系明确、债务人财产状况清楚、案情简单的破产案件,因程序要求繁琐而迟迟不能办结,影响了破产制度价值的发挥和社会公众对破产审判工作的评价。《最高人民法院关于推进破产案件依法高效审理的意见》对简单案件的处理也有回应,尝试在现有法律框架内构建简单案件快速审理机制。d这为将来企业破产法修订时设立破产案件简易程序,提供了有益的制度探索和实践支撑。
当然,在灵活设计简易破产程序的同时,应谨守两条底线。一是严格遵循不损害当事人实体权益的基本原则。优化程序设计是为了更好地实现当事人权益,推动企业有序退出市场,促进社会经济健康发展;如果程序内容造成对当事人实体权益的损害,则程序的正当性就会受到怀疑。对于当事人实体权益的充分保护,既需要法律的明确规定,也需要法官在具体裁量时加以考量平衡。二是严格遵循不违背程序公正理念的基本原则。破产程序涉及利益广泛、主体众多,处理各方权益需要在公平公正的前提下进行,在具体破产程序中区分繁简需要适度、均衡。在强调效率的情况下,不能对程序公正产生冲击,需要把两者统一起来。a简易破产程序的设置,是一个理论性和实践性均很强的问题,需要循序渐进、多方论证,最终形成科学、有效的制度规范。
3.加强破产审判信息化建设
通过网络召开债权人会议,不仅大大节约了时间,而且能够节省大量成本,提高效率。通过公开、透明的网络拍卖最大限度地实现债权人的清偿利益。据统计,2018年浙江法院破产财产网络司法拍卖成交总额为195.18亿元,溢价率达到12.49%,最高单体破产财产拍卖成交14.44亿元。例如,在北京华都肉鸡公司破产重整案件中,通过互联网公开竞价方式以9.6亿元完成股权出让,超出财产估值1.7倍,相比线下拍卖节省了700万元。这不仅实现了债务人资产价值的最大化,同时,也极大地提高了债权人清偿率。在司法信息化的建设方面,我国走在了世界的前列,阿联酋在进行司法网络化的改革后,不仅大大缩短了破产案件的办理期限,而且使破产回收率排名迅速提升。
除了通过网络召开债权人会议等形式来确保债权人的参与,破产资产的网络拍卖,近年来也正在如火如荼地展开。传统拍卖方式存在成本高,成交率低,溢价率低,还存在容易滋生围标串标、暗箱操作、权力寻租等现象的弊端。通过司法网络拍卖能够很好地遏制此种弊端,网络司法拍卖是实现各方当事人利益最大化的重要机制,既能提高财产处置效率,又能有效地去除权力寻租空间,彻底斩断利益链条。以浙江、江苏等省为例,网拍运行至今,实现了违法违纪“零投诉”。但是,随着司法网络拍卖市场的不断壮大,随之而来的就是如何确保破产资产网拍市场的充分竞争问题,以及在确保市场充分竞争的前提下,破产资产网拍机构的公益性使命和成本负担问题,也是需要着重考量的。随着各个网拍平台的发展,各类地方开放的信息化平台的规范和整合需要进一步得到规范。加强司法审判与信息化融合的道路依旧充满荆棘,深化破产审判与信息化发展任重而道远。
(二)优化管理人报酬制度
我国目前实行的是基于最终清偿总价值按比例来计算管理人报酬。管理人的报酬最终由法院决定,法院根据管理人的工作和债务人的资产状况在法定范围内确定,在一定程度上行使自由裁量权来确定债权人报酬。在破产案件受理以后,管理人一般同时也被指定,此时管理人已经开展了相应的工作,根据案件的不同情形赋予法院一定的自由裁量权能够使管理人的报酬获得公平保证。为了解决这一问题,我国可以适时引入按时间计算报酬的方法,与现行制度结合,对于合理化管理人的报酬制度有一定的参考价值。对于现实中存在的“无产可破”案件,管理人往往先期垫付了大量的资金,当最终发现企业资产不足时,损失也难以收回。这对于企业的出清也是一个极大的障碍。对于这一现象,有学者提出,应当依据谁受益谁付费的原则,在担保债权的变价款中按照比例支付管理人的报酬。这在一定程度上能够确保管理人的报酬得到保障。应当避免出现债务人有资产但管理人却没有报酬的现象。
我国有些地方法院已对管理人报酬的保障引起了足够的重视,已经尝试设立管理人援助基金来保障管理人报酬。管理人援助基金的设立是为了能够确保破产程序的及时启动,在保障管理人基本报酬的基础上确保破产费用的留存。当然,这是一种十分有益的尝试,管理人制度的不断发展必然能够促进破产回收率的提高。
(三)完善相关配套机制建设
1.提高破产职业专业化水平
破产制度曾被形象地称为“坩埚”,因为破产制度涉及的问题不仅仅是一个企业的破产,而且往往涉及公法和私法中的不同内容,涉及实体法和程序法的种种交叉学科。正是因为破产法这样的复杂性,也造就了破产程序需要调整手段的多样性。
相对于法官的一般法律知识而言,积累处理破产案件的特定工作人力资本大大缩短了破产程序的持续时间,取得了更可靠的结果,从而对破产结果产生了巨大影响。例如,为了成功地进行重整程序,法官必须表现出良好的会计和财务技能。在法国,破产法官通常能很好地理解企业的运作方式,这确保了法官更积极地参与听证和取证阶段的工作。司法机构的破产培训对监管改革的成功实施具有更广泛的影响。通过在破产改革通过后向法官提供基于质量的培训,该系统更有可能实施监管变革。事实上,我国各地已经开展了一系列的法官培训活动。最高人民法院关于《深化执行改革健全解决执行难长效机制的意见——人民法院执行工作纲要(2019-2023)》(法发〔2019〕16号)也对法官培训工作作出了明确的规定。加强对破产法官的专业性培训,也是提高破产程序效率的重要途径。
此外,破产管理人同样也必须拥有高超的专业化能力。破产管理人作为破产程序中的重要成员有时甚至能够左右破产程序的进程和发展。专业化程度对于破产进程的影响极大。管理人的专业化是实现其在破产程序中独立性的一个重要标准,是保障管理人主体地位的必备条件。只有在具备专业化知识的前提下,才能够有效地开展工作,更好地管理债务人资产,与债权人取得良好的沟通,与法院的理念达到一致,进而促进企业破产程序的高效进行。因此,破产管理人专业化已经成为了破产管理人选任的一大趋势。我国现行的管理人名册制度在一定程度上能够保障管理人的专业化水平,但整体上存在能力良莠不齐,某些管理人不具备管理重大破产案件的经验。而我国现阶段管理人选任的方式却带有一定的随机性,因此,整体而言,需要加强对管理人专业化的训练,并通过管理人制度的名册分级管理和动态调整来促进管理人队伍建设。
2.完善府院联动机制
企业“从生到死”都离不开政府的管理和服务,破产程序中涉及税务清理、工商注销、职工安置、社会救济等。我国《优化营商环境条例》中要求“优化营商环境应当深刻转变政府职能,强化协同联动,完善法治保障”。发改委等部门关于《加快完善市场主体退出制度改革方案》明确指出,应当加强司法与行政协调配合。地方各级人民政府应积极支持陷入财务困境、符合破产条件的企业进行重整或破产清算。政府与法院联动机制对于提升破产回收率具有重要的作用。破产案件的办理,是办案与办事的结合、开庭与开会的结合、裁判与谈判的结合。一方面,相关法律的不配套,需要政府部门的担当作为,为破产案件审理提供行政支持;另一方面,法院时刻肩负着破产法市场化实施的重任,需要防范行政权力在破产程序中的不当干预。建立破产审判政府与法院联动机制有深厚的理论和实践基础。
需要注意的是,政府作用在破产程序中的发挥,不能成为行政权力对司法权力的不当干预,不能成为阻碍破产程序的力量。有时候,有些地方法院倾向于通过在个案中指定清算组担任管理人的方式,来实现个案中的行政与司法协作,虽然也取得了较好的效果,但从可持续的发展方向来看,建立规范化、制度化的政府与法院联动机制才是应有之义。政府与法院联动机制的建立也可变分散对接为集中对接,有利于构建政府与法院统一协调机制;有助于有效地破解破产“立案难”顽疾,促进破产在市场主体救治和退出方面发挥更大的作用;有利于建立统一的司法裁判尺度,形成企业退出和挽救的统一标准。
四、结语
“办理破产”作为世界银行营商环境评估的十大指标之一,是企业市场退出机制的重要衡量因素。一个国家破产制度是否完备,除了要在实践中取得成效,法律体系的完备程度同样重要。我国破产制度在“回收率”这一指标上与国际优秀实践者相差较大。探索预重整模式、完善简易破产程序能够有效地限制破产程序的时间消耗。要减少破产程序的成本耗费,需要对管理人报酬的计薪方式作出更加积极的探索,进而降低破产成本。同时加强对专业人员的培训,建立专门的破产机构同样能够提升破产回收率。应当全面理解世界银行评估体系,它考察的不仅是一国法律体系的完善程度,还有其实际实施法律所带来的实效。整体而言,优化营商环境,提升“回收率”指标,需要从全社会每个人对“破产”的正确理解,从而最终使我国破产制度内嵌于市场经济体制,并成为持续发挥困境拯救与规范退出功能的现代破产法律制度。
来源:《上海政法学院学报(法治论丛)》
作者:徐阳光,韩玥
参考文献:略
微信扫一扫 第一时间让您获取清算行业重磅新闻、学术观点——中国清算网公众号(qdhx123)!

- 上一篇:对破产抵销权限制的实践分析
- 下一篇:债务人破产停息对担保措施影响的嬗变...
